2.1 - Radiation principles
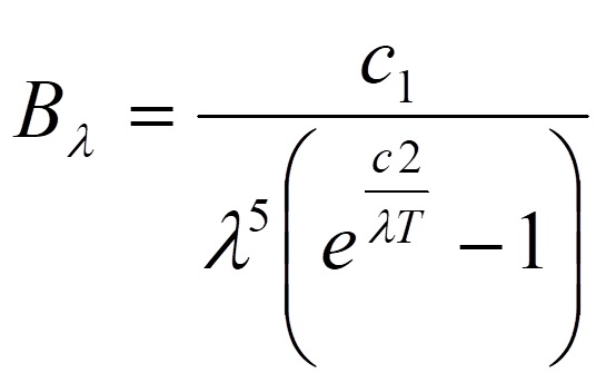
The Sun is the main source of energy in the earth-atmosphere system, irradiating electromagnetic energy in a wide range of wavelengths. According to Planck's law, all bodies with temperature above 0 K emit electromagnetic radiation. A black body at Temperature T emits radiation according to equation 2.1:
Where:
Bλ (Wm-3) = energy emitted at a given wavelength λ (m);
c1 and c2 are constants (3.74x10-16 Wm2 and 1.44x10-12 mK, respectively).
The spectral distribution of the emitted radiation of a body (B as a function of λ) can be obtained by applying the Planck function at a given temperature T and considering a range of possible wavelengths.
2.1.1 - Solar radiation
For the case of the Sun, and considering its temperature at approximately 6000 K, we can plot its emitted radiance as a function of the wavelength (Figure 2.1):
Figure 2.1: Blackbody radiance curve for the sun at 6000 K
2.1.2 - Visible light and thermal radiation
The visible region of the electromagnetic spectrum, commonly called visible light, is the portion of the electromagnetic spectrum that is visible to (can be detected by) the human eye. Within this region, the longest wavelength is red and the shortest is violet. Table 2.1 lists the common wavelengths of what humans perceive as colours within visible light:
Table 2.1: List of visible wavelengths (units: micrometer, µm)
Up to now we have seen that electromagnetic radiation emitted from a body at a certain wavelength is determined by its temperature. The most relevant features of the solar emitted radiance have been revised.
Having in mind that objects at the surface of the Earth are at lower temperatures than the Sun, should we expect them to emit radiation with characteristics similar to those of solar irradiance?
Figure 2.2 shows the spectral distributions of radiation emitted both by the Sun and the Earth considered to be at a mean temperature of about 300 K (close to the temperature of most objects at the surface of the Earth).
Figure 2.2: Spectral irradiance for the Sun and the Earth (credit: Ritter, Michael E. The Physical Environment: an Introduction to Physical Geography.)
This figure shows significant differences of terrestrial radiation when compared to solar irradiance:
- The peak of terrestrial irradiance is located at about 10μm, in the thermal infrared region;
- The most significant fraction of terrestrial irradiance occurs between [3 - 100μm] (longwave radiation);
So all objects emit radiation (as far as their temperature is above the absolute zero). But emissions from objects at the Earth surface occur mostly at wavelengths at which our eyes are unable to see.
In summary:
- Earth objects emit radiation at long wavelengths.
- Human eyes are only sensitive to short wavelengths (only emitted by the Sun).
So the question is, how can we see the objects? And why do we distinguish different colours?
To answer these questions we must understand how radiation interacts with matter.


