The concept of Total Precipitable Water (TPW)
The vertical distribution of atmospheric water vapour is quite uneven since most of it is concentrated in regions below 700 hPa (~ 3 km). The concept behind TPW is to get an absolute measure of the water content of the air. It strongly differs from the more familiar relative humidity as the latter depends on the capacity of the air to hold water and hence on its temperature.
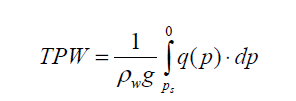
Assuming a vertical column of air reaching from the ground to the top of the atmosphere with a base of 1 m2, the TPW content of this column equals the amount of water if all water vapor was condensed. The commonly used units are [kg/m2] reflecting the weight of the condensed water or [mm] if water is accumulated on the bottom of the column.

where Ρw is the water density, which is 1000 [kg/m3]; g is the gravitational constant 9.8 [m/s2]; q(p) is the mixing ratio (g/kg) of water vapor in hPa at pressure level p and ps is surface air pressure in hPa.
Note
In common usage TPW refers only to the gaseous form of water in the atmosphere, thus not taking into account water droplets from clouds. The latter is evaluated in so-called "Cloud Water Products".
Figure 1: Schematic illustrating the concept of TPW. The left column contains air and water vapour, the right column contains dry air and condensed water vapour on the bottom of the column.
